2023-07-20 アルゴンヌ国立研究所(ANL)
◆SPT-CL J2215-3537(SPT2215)と名付けられたこの銀河団は、地球から約84億光年離れており、宇宙が53億年の時点で見られたものです。これにより、SPT2215は他の同じサイズの銀河団よりも早く形成され、最後の10億年間は「静止」していたことがわかりました。また、この銀河団内では巨大なブラックホールが新しい星々を形成する原動力となっていることも報告されています。これらの結果は宇宙の膨張を測定する際の重要な手掛かりとなります。
<関連情報>
- https://chandra.si.edu/press/23_releases/press_072023.html
- https://iopscience.iop.org/article/10.3847/1538-4357/acc6c2
- https://academic.oup.com/mnras/article/510/1/131/6442289?login=false
SPT-CL J2215-3537:最遠のゆったりとした銀河団の中心にある巨大なスターバースト SPT-CL J2215−3537: A Massive Starburst at the Center of the Most Distant Relaxed Galaxy Cluster
Michael S. Calzadilla, Lindsey E. Bleem, Michael McDonald, Michael D. Gladders, Adam B. Mantz, Steven W. Allen5, Matthew B. Bayliss, Anna-Christina Eilers, Benjamin Floyd, Julie Hlavacek-Larrondo, Gourav Khullar, Keunho J. Kim, Guillaume Mahler, Keren Sharon, Taweewat Somboonpanyakul, Brian Stalder, and Antony A. Stark
The Astrophysical Journal Published: 2023 April 19
DOI:10.3847/1538-4357/acc6c2

Abstract
We present the discovery of the most distant, dynamically relaxed cool core cluster, SPT-CL J2215−3537 (SPT2215), and its central brightest cluster galaxy (BCG) at z = 1.16. Using new X-ray observations, we demonstrate that SPT2215 harbors a strong cool core with a central cooling time of 200 Myr (at 10 kpc) and a maximal intracluster medium cooling rate of 1900 ± 400 M⊙ yr−1. This prodigious cooling may be responsible for fueling the extended, star-forming filaments observed in Hubble Space Telescope imaging. Based on new spectrophotometric data, we detect bright [O ii] emission in the BCG, implying an unobscured star formation rate (SFR) of M⊙ yr−1. The detection of a weak radio source (2.0 ± 0.8 mJy at 0.8 GHz) suggests ongoing feedback from an active galactic nucleus (AGN), though the implied jet power is less than half the cooling luminosity of the hot gas, consistent with cooling overpowering heating. The extreme cooling and SFR of SPT2215 are rare among known cool core clusters, and it is even more remarkable that we observe these at such high redshift, when most clusters are still dynamically disturbed. The high mass of this cluster, coupled with the fact that it is dynamically relaxed with a highly isolated BCG, suggests that it is an exceptionally rare system that must have formed very rapidly in the early universe. Combined with the high SFR, SPT2215 may be a high-z analog of the Phoenix cluster, potentially providing insight into the limits of AGN feedback and star formation in the most massive galaxies.
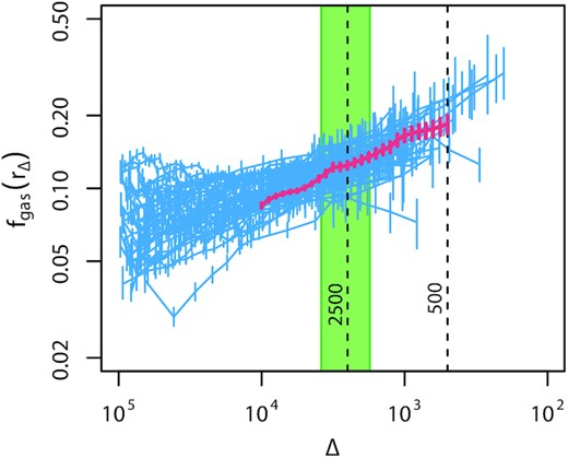
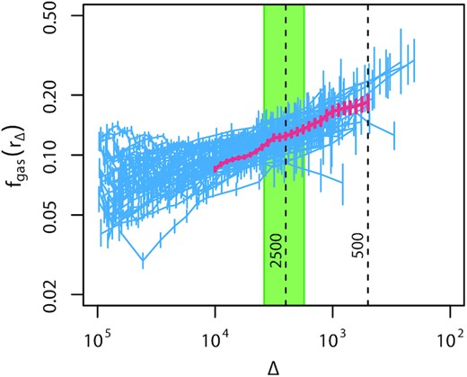
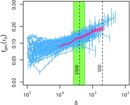
大質量緩和銀河団のガス質量分率から見た宇宙論的制約 Cosmological constraints from gas mass fractions of massive, relaxed galaxy clusters
Adam B Mantz, R Glenn Morris, Steven W Allen, Rebecca E A Canning, Lucie Baumont, Bradford Benson, Lindsey E Bleem, Steven R Ehlert, Benjamin Floyd, Ricardo Herbonnet,Patrick L Kelly, Shuang Liang, Anja von der Linden, Michael McDonald, David A Rapetti, Robert W Schmidt, Norbert Werner, Adam Wright
Monthly Notices of the Royal Astronomical Society Published::26 November 2021
DOI:https://doi.org/10.1093/mnras/stab3390

ABSTRACT
We present updated cosmological constraints from measurements of the gas mass fractions (fgas) of massive, dynamically relaxed galaxy clusters. Our new data set has greater leverage on models of dark energy, thanks to the addition of the Perseus cluster at low redshifts, two new clusters at redshifts z ≳ 1, and significantly longer observations of four clusters at 0.6 < z < 0.9. Our low-redshift (z < 0.16) fgas data, combined with the cosmic baryon fraction measured from the cosmic microwave background (CMB), imply a Hubble constant of h = 0.722 ± 0.067. Combining the full fgas data set with priors on the cosmic baryon density and the Hubble constant, we constrain the dark energy density to be ΩΛ = 0.865 ± 0.119 in non-flat Lambda cold dark matter (cosmological constant) models, and its equation of state to be w=−1.13+0.17−0.20 in flat, constant-w models, respectively 41 per cent and 29 per cent tighter than our previous work, and comparable to the best constraints available from other probes. Combining fgas, CMB, supernova, and baryon acoustic oscillation data, we also constrain models with global curvature and evolving dark energy. For the massive, relaxed clusters employed here, we find the scaling of fgas with mass to be consistent with a constant, with an intrinsic scatter that corresponds to just ∼3 per cent in distance.


